LANCRIX

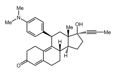
Mifepristone, ≥99%

Catalog No. 702662

Identification
SynonymsRU-38486, RU-486
CAS No.84371-65-3
M.F.

C29H35NO2

M.W.429.59
MDL No.MFCD00867226
Technical Data
AppearanceLight yellow crystalline powder
Melting Point (°C)192-196℃
Assay≥99% HPLC
SolubilityChloroform
Storage2-8℃
ApplicationMifepristone is a progesterone receptor antagonist with partial agonist activity.
Safety Data
Reference

Availability: Ships in 1-3 days

For research use only.

Inquire

(*Required Field)
*Name
*Organization Name
*Country
*Email Address
Phone
Subject 702662, Mifepristone, ≥99%, 84371-65-3
*Message
*Code If it’s not clear, please click on the picture to change one.