LANCRIX

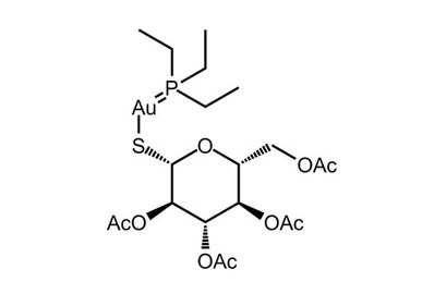
Auranofin, ≥98%

Catalog No. 454163

Identification
SynonymsSKF 39162
CAS No.34031-32-8
M.F.

C20H34AuO9PS

M.W.678.48
EC No.251-801-9
MDL No.MFCD00080759
Technical Data
AppearanceWhite crystalline power
Melting Point (°C)110-112℃
Specific Rotation (°)-54° to -56° (c=1 in CH3OH)
Assay≥98% HPLC
SolubilityEthanol, DMSO
StorageCool & Dry
Safety Data
Reference

Availability: Ships in 1-3 days

For research use only.

Inquire

(*Required Field)
*Name
*Organization Name
*Country
*Email Address
Phone
Subject 454163, Auranofin, ≥98%, 34031-32-8
*Message
*Code If it’s not clear, please click on the picture to change one.