LANCRIX

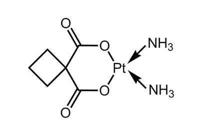
Carboplatin, ≥99%

Catalog No. 681243

Identification
SynonymsParaplatin
CAS No.41575-94-4
M.F.

C6H12N2O4Pt

M.W.371.25
EC No.255-446-0
MDL No.MFCD00070464
PubChem Substance ID 24278303
Technical Data
AppearanceWhite crystalline powder
Assay≥99%
StorageProtected from light
ApplicationAnalog of Cisplatin with reduced nephrotoxicity. Antineoplastic.
Safety Data
SymbolGHS08GHS07
Hazard StatementsH302 + H312 + H332-H317-H334-H360
Precautionary StatementsP201-P261-P280-P308 + P313
Hazard SymbolsT
Risk StatementsR46-61-20/21/22-42/43
Safety StatementsS53-22-26-36/37/39-45
WGK Germany3
RTECSTP2300000
Reference

Harland, S.J., et al.: Cancer Res., 44, 1693 (1984)
Smith, I.E., et al.: Cancer Treat. Rep., 69, 43 (1985)
Lygidakis, N.J., et al.: Interferon Cytokine Res., 15, 467 (1995)

Availability: Ships in 1-3 days

For research use only.

Inquire

(*Required Field)
*Name
*Organization Name
*Country
*Email Address
Phone
Subject 681243, Carboplatin, ≥99%, 41575-94-4
*Message
*Code If it’s not clear, please click on the picture to change one.