LANCRIX

BIS-TRIS propane, ≥99%

Catalog No. 466743

Identification
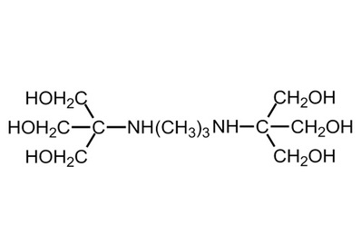
Synonyms1,3-​Bis[tris(hydroxymethyl)​methylamino]​propane
CAS No.64431-96-5
M.F.

C11H26N2O6

M.W.282.33
Beilstein No.1786109
EC No.264-899-3
MDL No.MFCD00004689
PubChem Substance ID24891934
Technical Data
AppearanceWhite crystalline powder
Melting Point (°C)162-165℃
Assay≥99% Titration
StorageCool & Dry
pH 10.4-11.0 (10% water solution)
Safety Data
WGK Germany3
Reference

Availability: Ships in 1-3 days

For research use only.

Inquire

(*Required Field)
*Name
*Organization Name
*Country
*Email Address
Phone
Subject 466743, BIS-TRIS propane, ≥99%, 64431-96-5
*Message
*Code If it’s not clear, please click on the picture to change one.