LANCRIX

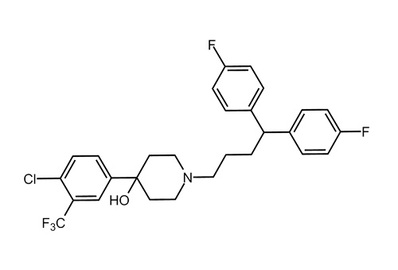
Penfluridol, ≥98%

Catalog No. 610680

Identification
SynonymsR16341
CAS No.26864-56-2
M.F.

C28H27ClF5NO

M.W.523.97
EC No.248-074-5
MDL No.MFCD00866714
Technical Data
AppearanceOff-white powder
Assay≥98%
SolubilityDMSO
StorageCool & Dry
ApplicationA T-type Ca2+ channel blocker and antipsychotic.
Safety Data
SymbolGHS06
Hazard StatementsH301
Precautionary StatementsP301 + P310
Hazard SymbolsT
Risk StatementsR25
Safety StatementsS45
WGK Germany3
RTECSTN6957000
Reference

Patrice Njomnang Soh, et al. Antimicrob. Agents Chemother. 53, 1100-6, (2009)
Herrick-Davis, K., et al. J. Pharmacol. Exp. Ther. 295, 226-232, (2000)
Santi, C.M., et al. J. Neurosci. 22, 396-403, (2002) 

Availability: Ships in 1-3 days

For research use only.

Inquire

(*Required Field)
*Name
*Organization Name
*Country
*Email Address
Phone
Subject 610680, Penfluridol, ≥98%, 26864-56-2
*Message
*Code If it’s not clear, please click on the picture to change one.