LANCRIX

Cimetidine, ≥99%

Catalog No. 074227

Identification
SynonymsSKF-92334
CAS No.51481-61-9
M.F.

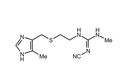
C10H16N6S

M.W.252.34
EC No.257-232-2
MDL No.MFCD00133296
Technical Data
AppearanceWhite or off-white crystalline powder
Melting Point (°C)139-144℃
Assay≥99%
SolubilityDMSO, Methanol, Water
StorageCool & Dry
ApplicationCimetidine is a competitive histamine H2-receptor antagonist which inhibits gastric acid secretion and reduces pepsin output.
Safety Data
SymbolGHS08
Hazard StatementsH360
Precautionary StatementsP201-P308 + P313
WGK Germany3
RTECSMF0035500
Reference

Olaleye MT, et al. Asian Pac. J. Trop. Med. 6(3), 200-4, (2013)
Liu BL, et al. J. Neurosurg. 118(1), 115-20, (2013)
Beltrame FL, et al. Histol. Histopathol. 27(10), 1343-51, (2012)
Lee HJ, et al. Int. J. Biochem. Cell Biol. 44(12), 2124-8, (2012)  

Availability: Ships in 1-3 days

For research use only.

Inquire

(*Required Field)
*Name
*Organization Name
*Country
*Email Address
Phone
Subject 074227, Cimetidine, ≥99%, 51481-61-9
*Message
*Code If it’s not clear, please click on the picture to change one.