LANCRIX

Buserelin acetate, Ph. Eur.

Catalog No. 638733

Identification
SynonymsEstomal, Suprafact
CAS No.68630-75-1
M.F.

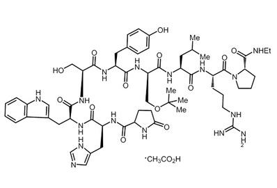
C60H86N16O13·C2H4O2

M.W.1299.48
MDL No.MFCD00941414
Sequence Pyr-His-Trp-Ser-Tyr-D-Ser(tBu)-Leu-Arg-Pro-NHEt acetate salt
Technical Data
SolubilityDMSO, Methanol, Water
Storage-20℃
ApplicationBuserelin is a potent LHRH (GnRH) agonist.
Safety Data
Reference

Availability: Ships in 4 days

For research use only.

Inquire

(*Required Field)
*Name
*Organization Name
*Country
*Email Address
Phone
Subject 638733, Buserelin acetate, Ph. Eur., 68630-75-1
*Message
*Code If it’s not clear, please click on the picture to change one.